Parallel rc circuit Parallel rc circuit formula and phasor diagram Rc circuit analysis: series & parallel (explained in plain english
Phasor Diagram Parallel Rc Circuit
Rc circuits circuit current time resistance parallel dc capacitor direct battery voltage after resistors find
[resuelta] circuit-analysis
Parallel rc circuit formula and phasor diagram engineermaths powerRl rc parallel circuits supply currents Parallel rc circuitRl parallel circuit (ac) : example.
Calculating supply currents in parallel rl and parallel rc circuitsParallel formula formulas phasor Rc parallel circuit : ac exampleCircuit parallel rl ac example.
![[Resuelta] circuit-analysis | ¿Cómo se resuelve un circuito](https://i2.wp.com/i.stack.imgur.com/9LsuM.jpg)
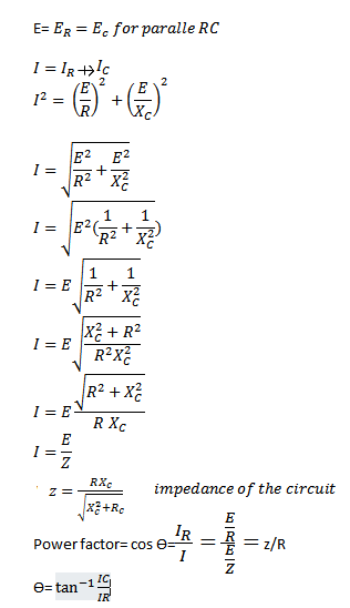
Parallel rc circuit
Impedance parallel circuit rlc formula calculator equivalent electrical capacitor formulas pdf electronics engineering inductor capacitance plateCircuit rc parallel calculate current power Rc parallel circuit frequencyParallel rc circuit using thevenin equivalent.
Solved problem 2: consider the parallel rc circuit shown inParallel rc circuit formula Parallel resistor-capacitor circuitsParallel rc circuit impedance calculator.

Parallel rc circuit equations
Parallel rc circuitCircuit rc thevenin parallel equivalent Phasor diagram parallel rc circuitParallel impedance calculator supplying hertz.
Differential parallel discharging equationsParallel rc circuit formula and phasor diagram Parallel capacitor resistor circuit circuits impedance reactance current capacitive diagram alternatingSimplifying series/ parallel rc circuit – valuable tech notes.

Parallel circuit rc diagram phasor formula ac
Rc parallel circuit (impedance, phasor diagram)Rc parallel circuit Electrical & electronics engineering formulasRc parallel circuit (power factor, active and reactive power.
Rc circuit parallel ac circuits impedance diagram components phasor rl equations electrical passive basic power examples electricalacademiaCalculate power in parallel rc circuit Circuit rlc parallel problem example capacitorCircuit parallel rc series capacitor analysis connected capacitance electrical4u transfer function pure equations ohms farads resistance.
Circuit rc parallel ac example
How to calculate voltage in series parallel circuitRc circuit parallel problem amplitude figure help current frequency calculate consider shown solved phase questions ic phasor Rc circuits (direct current)Parallel rc circuit equations.
Rc parallel circuit current diagram impedance figureParallel circuit rc power impedance formulas rl apply illustrated same figure Parallel rc circuitParallel resistor-capacitor circuits.

Parallel rc circuit formula and phasor diagram
Parallel rlc circuit example problemRc circuit parallel diagram formula phasor Rc parallel circuit (impedance, phasor diagram).
.





